-약침치료,물리치료보다통증(NRS), 기능(SPADI), 가동범위(ROM), 삶의 질(EQ-5D-5L) 등에서 앞서
- 약침의 효과, 치료 후 13주차까지 안정적으로 유지
- SCI(E)급 국제학술지 ‘통합의학연구(Integrative Medicine Research (IF= 3.4))’에 게재
![[사진설명] 자생한방병원 의료진이 유착성관절낭염 환자에게 약침치료를 진행하고 있다](https://cdn.newsin.co.kr/news/photo/202410/121961_124168_1952.jpg)
[뉴스인] 김태엽 기자 =‘오십견’으로 불리는 유착성관절낭염은보통 40-60대 여성에게서 주로 발생하며, 어깨가 얼어붙은 것처럼 굳어 ‘동결견’이라고도 불린다.일반적으로 비스테로이드성 항염증제(NSAID)나관절강내 주사 및 물리치료 등 다양한 보존 치료가 진행되고 있지만,특히 한의치료를 선택하는 환자가 많은 질환으로도 꼽힌다.하지만 이러한 치료법 간의호전 효과를비교한 연구는 부족한 실정이다.
이런 상황 속자생한방병원 척추관절연구소(소장 하인혁) 김두리 원장 연구팀은 유착성관절낭염에 대한 약침치료의 효과와 안전성을 입증했다고 14일 밝혔다.연구 결과,약침치료가 물리치료보다 통증·기능·가동범위 등의 측면에서 더 유의미한 개선 효과를 보였다.해당 연구는 SCI(E)급국제학술지 ‘통합의학연구(Integrative Medicine Research (IF= 3.4))’에 게재됐다.
약침치료는 침의 물리적 자극과 한약추출물의 약리적 효과가 결합돼 치료 효과를 극대화한다.염증과 통증을 빠르게 완화시킴과 동시에 손상된 신경과 연골,기타연부조직의 회복도 촉진해 다양한 근골격계 질환 치료에 널리 활용되고 있다.
연구팀은 중등도 이상의 통증을 호소하는 유착성관절낭염 환자 50명을 약침치료군과 물리치료군으로 무작위 배정해 6주간 주 2회씩 치료하고, 이후 13주까지 경과를 추적했다. 약침치료군은 신바로·황련해독탕 등의 약침이 사용됐으며, 물리치료군은 간섭파치료와 심부열치료 등이 시행됐다.
![[사진설명] 자생한방병원 척추관절연구소 김두리 원장](https://cdn.newsin.co.kr/news/photo/202410/121961_124170_215.jpg)
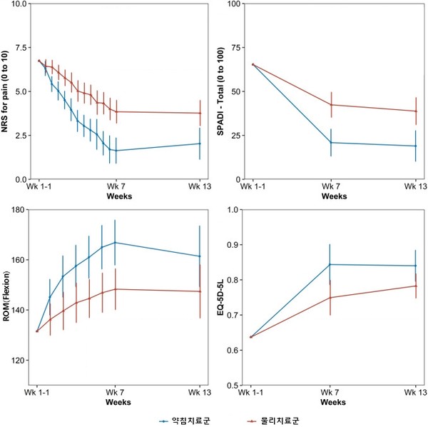
연구 결과,치료가 끝난 직후인 7주차와 최종 관찰 시점인 13주차 모두 약침치료군이 물리치료군 보다 대부분의 지표에서 더 나은 결과를 보였다. 통증숫자평가척도(NRS; 0~10/높을수록 통증이 심함)로 평가한 통증 수치는 두 치료군 모두 치료 전 중증 수준인 평균 7을 기록했으나, 약침치료군은 7주차에 1.63으로떨어져 약 76%의 감소 폭을 보였다. 반면, 물리치료군은 같은기간 3.85로 45% 감소해 약침치료군이 더 큰 개선 효과를 나타냈다. 통증을 시각적으로 표시하는 통증시각평가척도(VAS)에서도 약침치료군의 통증 감소 효과가 더뛰어났다.
![[사진설명] ‘통합의학연구(Integrative Medicine Research (IF= 3.4))’에 게재된 해당 논문 표지](https://cdn.newsin.co.kr/news/photo/202410/121961_124171_2119.jpg)
기능 개선 척도인 어깨통증장애지수(SPADI; 0~100/높을수록 장애가 심함)에서도 약침치료군은 치료 전 62.6에서 7주 후 20.89로, 물리치료군에서는 67.8에서 42.42로 각각 개선되며 약침치료군이 더 높은 치료 효과를 보였다. 어깨의 관절가동범위(ROM) 검사에서도 마찬가지 결과가 도출됐다.
특히 두 치료군은 삶의질 지표에서도 유의한 차이를 보였는데, 약침치료군이 물리치료군보다 삶의질 개선세가 뚜렷했다. EQ-5D-5L 점수(0~1, 높을수록 삶의 질 좋음)에서7주차에약침치료군은 0.84, 물리치료군은 0.75를 기록했으며, 13주차에도 차이가 유지됐다.
![[사진설명]약침치료군과 물리치료군의 NRS,SPADI, ROM, EQ-5D-5L 비교 그래프](https://cdn.newsin.co.kr/news/photo/202410/121961_124169_2034.jpg)
자생한방병원 척추관절연구소 김두리 원장은 “이번 연구를 통해 유착성관절낭염에 있어 약침치료가 물리치료 대비 효과적인 치료가 될 수 있음을 확인할 수 있었다”며 “아울러 이번 연구가 대규모 임상에 앞서 진행되는 파일럿 연구인 만큼, 향후 약침치료에 대한 과학적 근거가 강화돼 삶의 질 저하로 어려움을 겪는 환자들에게 도움이 되길 바란다”고 말했다.
